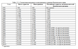
-
Похожий контент
-
Автор Петрович
Извержение Кроноцкого вулкана на Камчатке
Более ста лет молчал Кроноцкий вулкан. Сегодня он порадовал выбросом пепла!
-
Автор Kamchatka-Peninsula.ru
3 августа 2025 года на вулкане Крашенинникова на полуострове Камчатка началось первое за историю исследований извержение с выбросами пепла в восточном направлении в сторону Тихого океана.
Действующий вулкан Крашенинникова высотой 1856 метров расположен в зоне Восточного вулканического пояса полуострова Камчатка, в 13 километрах к югу от Кроноцкого озера.
-
Автор Kamchatka-Peninsula.ru
На полуострове Камчатка извергается самый высокий активный вулкан Евразии Ключевская сопка уже второй месяц, по сообщениям СМИ еще и лава начала идти...
См. фотографии Ключевского вулкана на полуострове Камчатка.
-
Автор Kamchatka-Peninsula.ru
Специальная тема о камчатском действующем вулкане Безымянная сопка (вулкан Безымянный) высотой 2882 метров над уровнем моря, расположенном в Центральной Камчатке, в центральной части Ключевской группы вулканов.
Знаменитое извержение вулкана Безымянного в середине XX века считается одним из крупнейших в масштабе всей планеты в историческое время.
На полуострове Камчатка в ночь на вторник прошло нетипичное извержение вулкана Безымянный.
На сейсмостанции в течение 20 минут регистрировали сильные взрывы в куполе Безымянного, вулкан выбросил большое облако пепла, которое распространилось на более чем 100 километров.
-
Автор AlexTver
Отпуск на полуострове Камчатка распланировали так, что вечером 5-го августа приезжаем с вулкана Толбачик в город Петропавловск-Камчатский.
Отлет 7-го в 12 часов.
Уважаемые туристы и путешественники, Ваше мнение:
1. Реально ли попасть за 1 день на Мутновку, поплескаться в термальных источниках, прилечь на снег и успеть вернуться к самолету.
2. Как это сделать (явки, адреса, расценки).
Прилетаем в город Елизово в 10 часов 29-го, до утра 30 июля можем встретиться, договориться.
Состав: я, жена, сын 8 лет (не избалован, в том году на Горелый, Вачкажец ходил, не ныл).
Если можете помочь с путешествием по Камчатке, буду очень благодарен.
См. фотографии вулкана Мутновский на полуострове Камчатка.
-

Рекомендуемые сообщения
Пожалуйста, войдите, чтобы комментировать
Вы сможете оставить комментарий после входа в
Войти